El Ministerio ya ha publicado las plantillas oficiales de la prueba para ser farmacéutico interno residente

Todas las preguntas oficiales del examen FIR 2026
Una aspirante antes del examen..


Act:
SE LEE EN 68 minutos
El examen FIR 2026 se ha desarrollado en un clima de relativa normalidad, con una prueba que los aspirantes han descrito como corta, previsible y sin grandes sorpresas en su planteamiento. La convocatoria ha mantenido una línea continuista respecto a años anteriores, tanto en la estructura como en el nivel de dificultad, lo que ha permitido a muchos candidatos gestionar mejor el tiempo disponible, si bien no han faltado las críticas por la presencia de erratas y pequeños fallos de redacción en algunas preguntas del cuadernillo.

Imagen pregunta 1
1. ¿Con qué reactivo se tiene que tratar A para obtener hidroclorotiazida?:
1. Ácido fórmico.
2. Formaldehído.
3. Diclorometano.
4. Fosgeno.
Imagen pregunta 2
2. ¿Cómo pueden sintetizarse las sulfonamidas antibacterianas indicadas a continuación?:
1. Mediante clorosulfonación de la anilina seguida de aminólisis.
2. Mediante nitración de la bencenosulfonamida seguida de reducción.
3. Mediante clorosulfonación de la acetanilida seguida de aminólisis y posterior hidrólisis.
4. Mediante clorosulfonación del nitrobenceno seguida de aminólisis y reducción.
Imagen pregunta 3
3. ¿Por qué los inhibidores nucleosídicos de la transcriptasa inversa, como la zidovudina, deben fosforilarse intracelularmente?:
1. Para aumentar su liposolubilidad y facilitar el paso a través de membranas celulares.
2. Para aumentar la afinidad por la ADN polimerasa viral.
3. Para convertirse en sus formas trifosfato activas que compiten con los nucleótidos naturales.
4. Para ser degradados y eliminados más rápidamente, reduciendo la toxicidad.
Imagen pregunta 4
4. ¿Qué afirmación referida al fármaco A es correcta?:
1. No puede atravesar la barrera hematoencefálica.
2. Posee actividad analgésica.
3. Es un antihistamínico H1.
4. Es un antagonista de los receptores D1 dopaminérgicos.
Imagen pregunta 5
5. ¿A través de qué reacción metabólica se activa el enalaprilo?:
1. Oxidación aromática.
2. Oxidación bencílica.
3. Hidrólisis de la amida.
4. Hidrólisis del éster.
Imagen pregunta 6
6. ¿Qué tipo de fármaco es la carbidopa?:
1. Un antiinflamatorio.
2. Un agonista directo dopaminérgico.
3. Un precursor de la dopamina.
4. Un inhibidor de la biosíntesis periférica de dopamina.

7. ¿Qué afirmación relativa al compuesto cuya estructura se representa a continuación es cierta?:
1. Es un profármaco del cloruro de cetilpiridinio.
2. Es un análogo blando del cloruro de cetilpiridinio.
3. Es un homólogo estructural del cloruro de cetilpiridinio.
4. Es un bioisóstero del cloruro de cetilpiridinio.

8. ¿Cuál es el mecanismo de acción de los inhibidores de las histonas desacetilasas (HDACS) utilizados como agentes antineoplásicos?:
1. Inhiben la metilación de las histonas, promoviendo la compactación del ADN.
2. Impiden la eliminación de los grupos acetilo de las histonas, favoreciendo la transcripción génica.
3. Desfosforilan residuos de serina en histonas, reduciendo la expresión génica.
4. Inhiben la acetilación de histonas, bloqueando la replicación del ADN.

9. ¿Qué función tiene la catecol-O-metiltransferasa (COMT) en el metabolismo de fármacos?:
1. Oxida un grupo metilo presente en derivados catecólicos.
2. Metila un grupo hidroxilo presente en derivados catecólicos.
3. Desamina fármacos derivados de catecolaminas.
4. Hidroxila el anillo aromático de derivados catecólicos.

10. ¿Cuál es el grupo funcional clave responsable de la unión al ion Zn2+ en los inhibidores de la enzima convertidora de angiotensina (ECA) como el captopril?:
1. Grupo carboxilato.
2. Grupo tiol.
3. Grupo amida.
4. Grupo éster.

11. ¿Qué evento ocurre tras la activación de un receptor acoplado a proteína G (GPCR)?:
1. La subunidad α intercambia GDP por GTP y se disocia del complejo βγ, iniciando la señalización.
2. La proteína G se fosforila directamente sin activar ninguna vía.
3. El receptor se internaliza sin activar ninguna vía.
4. Se une ATP al receptor, lo que produce la apertura de un canal iónico.

12. ¿Cuál es la función principal del glutatión (GSH) en el metabolismo de xenobióticos?:
1. Oxidar compuestos lipofílicos para aumentar su solubilidad en agua.
2. Servir como cofactor redox para las monooxigenasas del citocromo P450.
3. Conjugar compuestos electrófilos mediante su grupo sulfhidrilo, favoreciendo su detoxificación y excreción como ácidos mercaptúricos.
4. Reducir intermediarios radicalarios generados durante la β-oxidación de ácidos grasos.

13. ¿Cuál de las siguientes reacciones metabólicas es de Fase II?:
1. Metilación.
2. N-hidroxilación.
3. Reducción de nitrocompuestos.
4. Hidrólisis de ésteres.
Imagen pregunta 14
14. ¿A través de qué reacción metabólica se bioactiva el fármaco sulfasalacina?:
1. Oxidación.
2. Reducción.
3. Hidrólisis.
4. Conjugación.
Imagen pregunta 15
15. ¿Qué fragmento estructural de la L-dopa permite que se absorba por transporte activo?:
1. El grupo catecol.
2. El anillo bencénico.
3. El fragmento de α-aminoácido tirosina.
4. El grupo feniletilamina.
Imagen pregunta 16
16. ¿A través de qué diana biológica ejerce la tetracaína su acción anestésica local?:
1. Receptores β-adrenérgicos.
2. Dihidropteroato sintasa.
3. Lípidos de membrana.
4. Canales de sodio dependientes de potencial.
Imagen pregunta 17
17. ¿Qué aporta el grupo marcado en la estructura del siguiente fármaco?:
1. Aumenta la relación antagonista β1/β2.
2. Aumenta la relación agonista β2/β1.
3. Impide el metabolismo por MAO.
4. Facilita el metabolismo por COMT.

18. ¿Cuál de los siguientes fármacos es un inhibidor enzimático análogo del estado de transición?:
1. Donepezilo.
2. Metotrexato.
3. Ketoprofeno.
4. Atorvastatina.

19. ¿Cuál es el vector de transmisión de la enfermedad de Crimea Congo?:
1. Garrapatas.
2. Mosquitos tigre.
3. Flebotomos.
4. Mosquitos Anopheles.

20. El número máximo de Clostridium perfringens (y sus esporas) que se permiten en el agua de suministro para ser declarada apta para el consumo es de:
1. 0 UFC en 1000 mL.
2. 0 UFC en 100 mL.
3. 0 UFC en 10 mL.
4. 0 UFC en 1 mL.

21. La perihepatitis (síndrome de Fitz-Hugh-Curtis) se asocia con la infección por:
1. Bartonella henselae.
2. Chlamydophila psittaci.
3. Neisseria gonorrhoeae.
4. Virus de la hepatitis A.

22. Las colonias de Actinomyces israelii, causante de la actinomicosis cervicofacial, presentan un aspecto de:
1. Ojo.
2. Muela.
3. Uña.
4. Botón.

23. Streptococcus pneumoniae crece con dificultad en medios con concentraciones elevadas de glucosa porque:
1. No es capaz de metabolizarla.
2. Produce un exceso de ácido láctico que le es tóxico.
3. No tiene catalasa.
4. No es capaz de recuperar suficiente cantidad de NAD para continuar la glicólisis.

24. En la identificación del carbunco en un paciente se debe tener en cuenta:
1. Sus antecedentes médicos familiares.
2. Su profesión.
3. Su exposición solar.
4. Su nivel económico.

25. Chlamydia trachomatis es responsable de:
1. Linfogranuloma venéreo.
2. Tracomielitis.
3. Faringitis aguda.
4. Enfermedad de Whipple.

26. Los virus de RNA monocatenario de polaridad positiva generan una copia de RNA de polaridad negativa para:
1. Copiar su genoma.
2. Copiar su genoma y producir RNA mensajero.
3. Encapsidarla en los nuevos viriones.
4. Producir RNA mensajero.

27. De los siguientes microrganismos toxigénicos, indique cuál NO está relacionado con enfermedades transmitidas por alimentos:
1. Clostridium tetani.
2. Staphylococcus aureus.
3. Clostridium botulinum.
4. Escherichia coli enterotoxigénico.

28. La toxina producida por la especie Clostridium botulinum forma parte de las denominadas:
1. Enterotoxinas.
2. Cardiotoxinas.
3. Neurotoxinas.
4. Hemolisinas.

29. Indique cuál de los siguientes microrganismos debe controlarse en las mujeres embarazadas como método de detección perinatal:
1. Clostridium botulinum.
2. Microsporum nanum.
3. Moraxella catarrhalis.
4. Streptococcus agalactiae.

30. Indique cuál de entre los siguientes microorganismos se asocia principalmente con la producción de orzuelos:
1. Staphylococcus aureus.
2. Escherichia coli.
3. Trichophyton rubrum.
4. Brucella melitensis.

31. Indique cuál de entre los siguientes microorganismos Gram negativos, se asocia mayoritariamente con las queratitis infecciosas asociadas al uso de lentes de contacto:
1. Yersinia enterocolitica.
2. Pseudomonas aeruginosa.
3. Proteus mirabilis.
4. Brucella suis.

32. En referencia a los miembros del género Chlamydia, ¿qué característica de las referidas a continuación es INCORRECTA?:
1. Solo crecen en medios de cultivo celulares.
2. Son bacterias intracelulares estrictas.
3. Poseen diferente morfología intra y extracelular.
4. Su pared celular tiene una gruesa capa de peptidoglucano.

33. De los medios de cultivo que se referencian a continuación, indique cuál es el más apropiado para cultivar las heces ante la sospecha de un brote de cólera:
1. Agar Manitol Salado (Chapman-manitol).
2. Agar Thayer Martin.
3. Agar Löwenstein-Jensen.
4. Agar TCBS.

34. La prueba de detección de nitritos en la orina está relacionada con un proceso de infección producida por miembros de una de las Familias reseñadas a continuación. Indique cuál es la opción correcta:
1. Familia Enterobacteriaceae.
2. Familia Streptococcaceae.
3. Familia Pseudomonadaceae.
4. Familia Staphylococcaceae.

35. ¿Cuál de las siguientes bacterias presenta tinción bipolar (forma de imperdible), tras tinción por el método de Giemsa?:
1. Brucella melitensis.
2. Yersinia pestis.
3. Acinetobacter baumanii.
4. Vibrio cholerae.

36. ¿En cuál de las siguientes especies del género Plasmodium el ciclo esquizogónico eritrocitario se produce cada 24h, lo que genera picos febriles cotidianos?:
1. Plasmodium falciparum.
2. Plasmodium knowlesi.
3. Plasmodium ovale.
4. Plasmodium vivax.

37. ¿Cuál de las siguientes especies de Leishmania produce leishmaniosis visceral y cutánea, no importada, en países europeos y latinoamericanos?:
1. Leishmania donovani.
2. Leishmania infantum.
3. Leishmania pifanoi.
4. Leishmania tropica.

38. La observación microscópica en una muestra fecal de amebas con hematíes intracitoplasmáticos es diagnóstico de parasitación por:
1. Entamoeba moshkovskii.
2. Entamoeba dispar.
3. Entamoeba hartmanii.
4. Entamoeba histolytica.

39. ¿Cuál de los siguientes géneros de coccidios intestinales considera que puede producir Infecciones de Transmisión Sexual (ITS)?:
1. Cystoisospra spp.
2. Cyclospora spp.
3. Cryptosporidium spp.
4. Sarcocytis spp.

40. ¿Cuál de los siguientes nematodos es transmitido por moscas del género Chrysops y que clínicamente se caracteriza, entre otros signos y síntomas, por una eosinofilia notable y la aparición de edema de Calabar?:
1. Dracunculus medinensis.
2. Strongyloides stercolaris.
3. Dirofilaria repens.
4. Loa loa.

41. ¿Cuál de los siguientes métodos es el más utilizado para la obtención de cápsulas gelatinosas blandas?:
1. Lacey o de placas excéntricas.
2. Lehuby o de inmersión.
3. Heckel o de compresión.
4. Scherer o de matrices rotativas.

42. En las formulaciones de administración parenteral:
1. Sólo se pueden utilizar las emulsiones de fase continua oleosa.
2. Si cumple el ensayo de esterilidad no es necesario realizar el control de apirogeneidad.
3. Se utilizan disoluciones de cloruro sódico en concentración superior al 0,9 % para garantizar la isotonía de la formulación.
4. Una disolución parenteral puede esterilizarse mediante filtración con un tamaño de poro de 0,22 micras.

43. ¿Cuál de los siguientes equipos utilizado para la desecación de productos permite obtener partículas esféricas y porosas?:
1. Atomización mediante disco centrífugo.
2. Secaderos rotativos.
3. Horno a vacío.
4. Turbosecadores.

44. ¿Cuándo disminuye la velocidad de disolución?:
1. Al disminuir el tamaño de partícula del soluto.
2. Al aumentar la viscosidad del medio.
3. Cuando se presentan imperfecciones cristalinas.
4. Cuando disminuye la tensión interfacial.

45. ¿Cuál de los siguientes es un fenómeno irreversible que afecta a la estabilidad de las emulsiones?:
1. Coalescencia.
2. Formación de crema.
3. Floculación o agregación.
4. Sedimentación.

46. ¿En qué patología ocular es adecuado el uso de vehículos hipotónicos en la preparación de colirios?:
1. Glaucoma.
2. Ojo seco.
3. Inflamación ocular.
4. Infecciones oculares.

47. ¿Qué condición debe cumplir un fármaco para poder administrarse por vía transdérmica?:
1. Potencia farmacológica baja.
2. Tamaño molecular inferior a 500 Da.
3. Coeficiente de reparto octanol/agua (logP) superior a 4.
4. Estar ionizado en el vehículo.

48. ¿Cuál de los siguientes ensayos es específico de supositorios preparados con excipientes grasos?:
1. Disgregación.
2. Uniformidad de contenido.
3. Tiempo de reblandecimiento.
4. Densidad relativa.

49. ¿Qué afirmación es cierta sobre el proceso de liofilización de una disolución acuosa?:
1. La congelación se hace a la temperatura de eutexia del producto.
2. La fase de desecación primaria requiere una presión superior a la presión de vapor del hielo del producto.
3. El condensador debe estar a una temperatura inferior a la de la cámara de liofilización.
4. La fase de desecación secundaria no necesita condiciones de vacío.

50. ¿Qué se puede afirmar sobre los sistemas presurizados de administración pulmonar?:
1. Necesitan que el paciente tenga un flujo inspiratorio alto para funcionar adecuadamente.
2. Pueden utilizarse gases licuados o comprimidos.
3. La presión en el interior del envase es independiente de la temperatura.
4. En el interior del envase hay propulsor en forma líquida y en forma gaseosa.

51. Una de estas afirmaciones sobre el potencial de reposo de la membrana celular es INCORRECTA:
1. Está cerca del potencial de equilibrio del ion potasio.
2. Está determinado por la distribución desigual de iones entre el interior y el exterior de la célula.
3. Es aquel en el que no existe una diferencia de potencial eléctrico a ambos lados de la membrana.
4. Depende de los gradientes de concentración de iones a través de la membrana y la permeabilidad de la membrana para cada tipo de ion.

52. En estas afirmaciones sobre las características de los potenciales graduales y los potenciales de acción hay una INCORRECTA:
1. Durante un periodo refractario absoluto no se disparan potenciales de acción.
2. Un potencial de acción se genera por un estímulo que supera el potencial umbral viajando hasta alcanzar la terminal axónica.
3. Un potencial gradual es proporcional en intensidad y duración al estímulo recibido por la célula excitable.
4. La intensidad de los potenciales de acción se atenúa con la distancia a medida que viajan por el axón hasta la terminal axónica.

53. Cuando el neurotransmisor acetilcolina es liberado en una placa motora terminal:
1. Se une a receptores nicotínicos y produce un aumento de la permeabilidad al ion sodio en la membrana de la célula muscular, generando la contracción del músculo.
2. Se une a receptores muscarínicos y produce una disminución de la permeabilidad de la membrana postsináptica al sodio, generando una relajación del músculo.
3. Se une a receptores adrenérgicos y produce un aumento de la permeabilidad al ion sodio en la membrana de la célula muscular, generando la contracción del músculo.
4. Es degradado por la enzima acetilcolinesterasa en el espacio sináptico, generando la contracción del músculo.

54. ¿Cuál de estos neurotransmisores es un aminoácido con funciones excitatorias?:
1. Noradrenalina.
2. Glutamato.
3. Acetilcolina.
4. GABA.

55. La pérdida progresiva de la sensibilidad que tienen numerosos receptores sensoriales ante una estimulación repetitiva se define como:
1. Sensibilización.
2. Inhibición lateral.
3. Adaptación sensorial.
4. Descodificación sensorial.

56. En esta enumeración de funciones realizadas por distintas áreas cerebrales, indique la afirmación correcta:
1. El hipotálamo es responsable de la percepción e integración inteligente de la información sensorial y motora.
2. El cerebelo se encarga de la planificación de movimientos coordinados del sistema muscular esquelético en equilibrio estático y dinámico.
3. El bulbo raquídeo se encarga de la iniciación y control del movimiento.
4. La amígdala es el principal núcleo de control del procesamiento motor en el cerebro.

57. El principal papel fisiológico de la hormona aldosterona es:
1. La regulación de la calcemia.
2. La regulación de la glucemia.
3. Promover la gluconeogénesis en el hígado.
4. La regulación de la concentración plasmática de iones sodio y potasio.

58. Cuando aumentan los niveles de glucosa plasmática, se producen cambios en las concentraciones sanguíneas de determinadas hormonas relacionadas con el metabolismo. ¿Cuál de las siguientes opciones es correcta?:
1. Aumento de la insulina plasmática y disminución del glucagón plasmático.
2. Aumento del glucagón plasmático y disminución de la insulina plasmática.
3. Aumento del glucagón plasmático sin cambios en los niveles de insulina plasmática.
4. Aumento del calcitriol plasmático.

59. ¿Cuál es la función de la colecistoquinina (CCK)?:
1. Promover la secreción de enzimas pancreáticas.
2. Inhibir la contracción de la vesícula biliar.
3. Activar el tripsinógeno para producir tripsina.
4. Aumentar de forma potente el vaciamiento gástrico.

60. ¿Qué hemoglobina atípica es la responsable de la drepanocitosis o anemia de células falciformes?:
1. Hemoglobina C.
2. Hemoglobina D.
3. Hemoglobina E.
4. Hemoglobina S.

61. ¿Cuál es la etiología del linfoma de Hodgkin?:
1. Genética.
2. Infecciosa (vírica).
3. Trastorno inmunológico.
4. Desconocida.

62. ¿Cuál de los siguientes compuestos es un antiagregante plaquetario?:
1. Heparina.
2. Fondaparinux.
3. Acenocumarol.
4. Ácido acetilsalicílico.

63. ¿Qué porcentaje de pacientes con policitemia vera son portadores de la mutación V617F en el exón 14 del gen JAK2?:
1. 10%.
2. 40%.
3. 75%.
4. 95%.

64. ¿Qué sistema de grupo sanguíneo es el más importante en la transfusión de sangre y en el trasplante de órganos sólidos?:
1. Sistema Rh.
2. Sistema ABO.
3. Sistema Kell.
4. Sistema MNS.

65. ¿Cuál es la causa más frecuente de anemia ferropénica en el adulto en nuestro medio?:
1. Déficit de aporte de hierro en la alimentación.
2. Pérdida crónica de pequeñas cantidades de sangre.
3. Problemas con la absorción de hierro por el aparato digestivo.
4. Alteración en el transporte sanguíneo de hierro.

66. ¿Qué prueba de laboratorio explora alteraciones de la vía extrínseca de la coagulación?:
1. Tiempo de tromboplastina parcial activada.
2. Tiempo de obturación.
3. Tiempo de protrombina.
4. Tiempo de reptilasa.

67. ¿Cuál de las siguientes combinaciones se considera más característica del síndrome de segunda motoneurona (nervio periférico)?:
1. Fuerza disminuida, signo de Babinsky e hipotonía.
2. Fuerza conservada, pérdida de sensibilidad táctil e hiperreflexia.
3. Fuerza disminuida, hipertonía e hiperreflexia.
4. Fuerza disminuida, hipotonía e hiporreflexia.

68. En una mujer joven estudiada por hipertensión arterial, se detecta en la ecografía un nódulo suprarrenal y una elevación del cociente aldosterona/renina plasmática. ¿Qué hallazgo analítico se esperaría encontrar?:
1. Alcalosis metabólica.
2. Hiperpotasemia.
3. Hiponatremia.
4. Anemia macrocítica con déficit de vitamina B12.

69. Sobre los mecanismos de compensación de la insuficiencia cardíaca, seleccione la afirmación INCORRECTA:
1. La dilatación cardíaca aumenta la contractilidad, pero aumenta también el consumo de oxígeno y la tensión de la pared miocárdica.
2. El aumento en la secreción de angiotensina II disminuye la poscarga, pero causa hipotensión arterial.
3. La hipertrofia miocárdica concéntrica incrementa la contractilidad, pero disminuye la distensibilidad ventricular.
4. El aumento de la secreción de hormona antidiurética incrementa la precarga, pero favorece la formación de edemas.

70. Un paciente acude a urgencias por una crisis hipertensiva. Presenta hipoxemia y crepitantes bilaterales en la auscultación pulmonar. ¿Qué dato se espera encontrar con mayor probabilidad en la anamnesis?:
1. Ortopnea.
2. Dolor en hipocondrio derecho.
3. Edema de los tobillos.
4. Distensión abdominal.

71. ¿Cuál de las siguientes es una causa de acidosis metabólica con "anion-gap" (hiato aniónico) normal?:
1. Cetoacidosis diabética.
2. Acidosis láctica.
3. Acidosis tubular renal.
4. Enfermedad renal crónica.

72. ¿Cuál de los siguientes mecanismos causa maldigestión en la pancreatitis crónica?:
1. El exceso de liberación de ácido clorhídrico gástrico que inhibe la lipasa pancreática.
2. El déficit en la liberación de lipasa pancreática.
3. La hipersecreción de bicarbonato pancreático que neutraliza en exceso el quimo ácido.
4. La alteración en las microvellosidades intestinales combinada con el déficit de insulina.

73. ¿Qué combinación de parámetros hemodinámicos se puede encontrar en un shock hipovolémico?:
1. Gasto cardíaco disminuido + resistencias vasculares disminuidas.
2. Gasto cardíaco disminuido + presión venosa central elevada.
3. Gasto cardíaco elevado + resistencias vasculares disminuidas.
4. Gasto cardíaco disminuido + resistencias vasculares elevadas.

74. En un paciente con tromboembolismo pulmonar agudo e insuficiencia respiratoria, ¿cuál es el principal mecanismo responsable de la hipoxemia?:
1. Hipoventilación alveolar pura.
2. Alteración de la relación ventilación-perfusión tipo "efecto shunt".
3. Alteración de la relación ventilación-perfusión tipo "efecto espacio muerto".
4. Alteración de la difusión alveolocapilar.

75. Paciente varón de 72 años que consulta por ictericia progresiva marcada, dolor epigástrico y pérdida de peso. La ecografía muestra una dilatación del colédoco y posible masa pancreática. ¿Qué combinación de hallazgos se espera encontrar?:
1. Hiperbilirrubinemia directa, heces de color normal y urobilinógeno urinario elevado.
2. Hiperbilirrubinemia indirecta con coluria.
3. Hiperbilirrubinemia directa con ausencia de urobilinógeno en orina.
4. Hiperbilirrubinemia indirecta y acolia.
Imagen pregunta 76
76. La administración del fármaco X (de carácter ácido), solo o combinado con ketoconazol, produce un aumento del intervalo QT en el ECG (como muestra la figura). El ketoconazol es un inhibidor del CYP3A4. Podemos deducir que:
1. Ocurriría lo mismo si se administrara X en combinación con rifampicina.
2. Probablemente X bloquea parcialmente la corriente de potasio repolarizadora.
3. El riesgo de que X provoque Torsades de Pointes es menor en individuos con hipopotasemia.
4. Para favorecer la excreción urinaria de X deberíamos acidificar la orina.

77. ¿Cuál es la respuesta correcta en el tratamiento preventivo de fracturas óseas de mujeres postmenopáusicas que presentan osteoporosis?:
1. El raloxifeno, indicado en mujeres premenopáusicas con riesgo bajo-moderado de fracturas, presenta efectos adversos de tromboembolismo.
2. La teriparátida, indicada en mujeres con riesgo de fractura muy alto, aumenta la densidad ósea, y está indicada especialmente en mujeres con hipercalcemia preexistente.
3. En una paciente con riesgo moderado de fractura, el tratamiento con bifosfonatos más allá de los 5 años debería reevaluarse por riesgo de osteonecrosis y/o fracturas de fémur.
4. En casos de osteoporosis severa, está indicada una terapia secuencial con un osteoanabólico como el denosumab, seguido de antiresortivos como los bifosfonatos.

78. Identifica la respuesta verdadera en estas afirmaciones sobre la empagliflozina en el marco de la insuficiencia cardíaca con fracción de eyección reducida (IC-FEr) y la diabetes mellitus (DM):
1. En la IC-FEr, su efectividad depende del control glucémico.
2. En la IC-FEr, la empagliflozina se asocia a bloqueadores beta adrenérgicos, espironolactona e INRA (inhibidores de la neprilisina-antagonistas del receptor de la angiotensina).
3. En la DM tipo 2 mejora la función renal al inhibir la glucosuria.
4. Está indicada en la DM tipo 1, asociada a la insulina.

79. Señale la respuesta INCORRECTA en relación con los siguientes fármacos antihipertensivos:
1. Uno de los efectos adversos asociados al uso de los fármacos inhibidores de la enzima convertidora de angiotensina (IECA) es la aparición de insuficiencia renal aguda en pacientes con estenosis bilateral de la arteria renal.
2. Los inhibidores de la enzima convertidora de angiotensina (IECA) están contraindicados en mujeres embarazadas.
3. Uno de los efectos adversos más habituales de los antagonistas del calcio es la aparición de edemas periféricos.
4. Entre los efectos adversos de los antagonistas del receptor de la angiotensina II (ARA) se incluye la aparición de hipopotasemia.

80. A un paciente diagnosticado con insuficiencia cardíaca y fracción de eyección reducida (IC FEr) le prescriben, como parte de la terapia cuádruple, sacubitrilo-valsartán. En referencia a sacubitrilo-valsartán, indique la opción correcta:
1. La administración por separado de sacubitrilo, sin asociarlo a valsartán, proporciona eficacia suficiente para tratar la IC-FEr.
2. La asociación de sacubitrilo-valsartán con un inhibidor de la enzima convertidora de angiotensina (IECA) está especialmente indicada como parte de la terapia cuádruple.
3. Entre los efectos adversos se encuentra la aparición de angioedema, probablemente debido a un aumento de bradicinina.
4. Se puede combinar sin riesgo con suplementos de potasio.

81. Indique en cuál de las siguientes situaciones el anticoagulante propuesto es la mejor elección:
1. Pacientes con fibrilación auricular con prótesis valvulares cardíacas - Rivaroxabán.
2. Pacientes con fibrilación auricular no valvular y síndrome antifosfolipídico - Apixabán.
3. Pacientes con fibrilación auricular no valvular con alto riesgo de hemorragia intracraneal Dabigatran.
4. Pacientes con fibrilación auricular no valvular con insuficiencia renal grave (aclaramiento de creatinina < 15 ml/min) - Dabigatrán.

82. Se prescribe semaglutida (agonista GLP-1) a un paciente adulto con enfermedad cardiovascular establecida y un índice de masa corporal igual o superior a 27 kg/m2. Indique la opción correcta:
1. La administración de semaglutida para reducir peso disminuirá el riesgo de eventos cardiovasculares adversos mayores.
2. Dado que este fármaco es un péptido, un porcentaje elevado de pacientes desarrollan anticuerpos antisemaglutida.
3. Aunque la administración subcutánea es mensual, la semaglutida oral requiere una toma semanal debido a su menor biodisponibilidad.
4. Requiere ajuste de dosis en casos de insuficiencia renal o hepática.

83. De las siguientes afirmaciones señale la correcta:
1. La administración de cefazolina mediante infusión prolongada (en lugar de bolus intermitente) tiene como objetivo principal aumentar la Cmax para tratar infecciones graves por gram-negativos.
2. En cepas de Mycoplasma pneumoniae resistentes a macrólidos, el metronidazol es el fármaco de elección debido a su amplio espectro de acción contra bacterias anaerobias.
3. El aztreonam es resistente a beta-lactamasas y está indicado frente a las infecciones por Enterobacteriáceas, incluso en pacientes alérgicos a las penicilinas.
4. El moxifloxacino, como bacteriostático, junto con la fosfomicina como bactericida, son antibióticos de primera línea para tratar mujeres con cistitis no complicadas.

84. De las siguientes asociaciones fármaco enfermedad para la que se utiliza, indique la relación INCORRECTA:
1. Dupilumab - dermatitis atópica.
2. Secukinumab - psoriasis en placas.
3. Omalizumab asma alérgica grave.
4. Eculizumab enfermedad de Crohn.

85. Indique la respuesta INCORRECTA en relación con el tratamiento de un paciente con niveles de potasio de 7 mEq/L (valores normales 3.5-5 mEq/L):
1. El calcio intravenoso antagoniza el efecto cardíaco de la hiperpotasemia.
2. La administración de un diurético como la espironolactona favorece la excreción de potasio en la orina.
3. La administración de un agonista β-adrenérgico favorece la redistribución del potasio hacia el interior de la célula.
4. El ciclosilicato de sodio y zirconio es un quelante de potasio útil para prevenir la hiperpotasemia en pacientes con enfermedad renal crónica e insuficiencia cardíaca.

86. Indique la respuesta correcta en relación con la terapia farmacológica de la cardiopatía isquémica:
1. El mononitrato de isosorbida es eficaz en el alivio inmediato de los síntomas de los episodios agudos de angina.
2. Los β-bloqueantes adrenérgicos están indicados en la angina variante por vasoespasmo de las coronarias.
3. La asociación de verapamilo con ivabradina está especialmente indicada en pacientes resistentes a la monoterapia.
4. Siempre que no exista contraindicación, los fármacos de elección en la profilaxis de la angina estable crónica son un β-bloqueante adrenérgico o un antagonista del calcio.

87. Señale la respuesta correcta en estas afirmaciones respecto a fármacos antidepresivos-ansiolíticos-hipnóticos:
1. La trazodona es un inhibidor selectivo de la recaptación de serotonina (ISRS) con fuerte actividad hipnótica a altas dosis.
2. La venlafaxina y desvenlafaxina se consideran los ISRS con menor riesgo de interacciones farmacológicas mediadas por CYP450.
3. Los fármacos Z (p. ej., zolpidem) actúan como hipnóticos por unión selectiva a la subunidad a1 del receptor GABA-A.
4. El lorazepam se metaboliza principalmente por glucuronidación, por lo que está contraindicado en pacientes con disfunción hepática avanzada.

88. Respecto al tratamiento de la hepatitis C (HC) con los nuevos antivirales de acción directa (AAD), indique la respuesta correcta:
1. El polimorfismo genético de IL28B (Interleucina-28B) influye en la respuesta al tratamiento con los AAD.
2. Los AAD del tipo sofosbuvir inhiben la proteasa que corta la poliproteína viral en proteínas funcionales.
3. El ritonavir no tiene actividad frente al virus de la HC, pero se añade a otros AAD para reducir sus concentraciones plasmáticas efectivas.
4. Los regímenes pangenotípicos (eficaces contra todos los genotipos del virus) más utilizados actualmente incluyen combinaciones de un inhibidor de NS5A más un inhibidor de polimerasa o un inhibidor de la NS3/4A serin proteasa.

89. Un varón de 30 años con esquizofrenia resistente a varios antipsicóticos es tratado con clozapina. ¿Qué medida de monitorización es obligatoria?:
1. Determinación mensual de TSH (del inglés, Thyroid-Stimulating Hormone, Hormona Estimulante de la Tiroides).
2. Control hematológico periódico de leucocitos y neutrófilos.
3. Monitorización continua de la presión arterial.
4. Control semanal de niveles plasmáticos de dopamina.

90. Respecto al tratamiento farmacológico de la enfermedad de Parkinson, señale la afirmación correcta:
1. Los inhibidores de la catecol-O-metiltransferasa (COMT), como entacapona o tolcapona, se utilizan en monoterapia en fases iniciales de la enfermedad.
2. Los inhibidores de la monoaminooxidasa tipo B (MAO-B), como rasagilina o selegilina, disminuyen la degradación de dopamina y pueden utilizarse en monoterapia en fases iniciales.
3. Los agonistas dopaminérgicos están contraindicados en pacientes jóvenes (menores de 60 años) por su riesgo de discinesias.
4. Los antimuscarínicos son el tratamiento de elección para controlar la rigidez y la bradicinesia en fases avanzadas.

91. Una mujer de 65 años con hipertensión arterial, insuficiencia cardíaca y filtración glomerular de 42 mL/min (valores normales de filtrado glomerular ≥ 90 mL/min) en tratamiento crónico con losartán (antagonista del receptor de la angiotensina II, ARA-II), hidroclorotiazida, ácido acetilsalicílico 100 mg/24h, acude a una farmacia para consultar sobre ibuprofeno que desea tomar para dolor articular. ¿Cuál de las siguientes es la opción más adecuada?:
1. Puede tomar ibuprofeno a dosis habituales sin ningún riesgo renal relevante.
2. Los ARA-II tienen efectos beneficiosos sobre el riñón que compensan los posibles efectos adversos renales del antiinflamatorio no esteroideo (AINE).
3. La combinación de AINE ARA-II + diurético aumenta el riesgo de insuficiencia renal aguda.
4. Puede utilizar ibuprofeno durante 3-5 días sin riesgo renal relevante y, si el dolor persiste, sustituirlo por tramadol.

92. Un paciente de 68 años con antecedentes de fibrilación auricular, osteoporosis y hernia de hiato, es diagnosticado de enfermedad por reflujo gastroesofágico (ERGE) erosiva, y se decide iniciar tratamiento. El paciente está tomando clopidogrel. Señale la respuesta correcta:
1. El uso crónico de un inhibidor de la bomba de protones (IBP) aumentará, en este paciente, el riesgo de fracturas.
2. La famotidina es la mejor opción inicial, ya que no presenta interacciones.
3. El tratamiento de elección para su ERGE debe ser un IBP, como el omeprazol, porque no presenta riesgo de interacciones con el clopidogrel.
4. El clopidogrel debe suspenderse al iniciar el tratamiento con pantoprazol, ya que todos los fármacos de la clase "prazol" potencian muy significativamente su efecto anticoagulante.

93. Respecto al tratamiento de la diabetes tipo 2, ¿cuál de las siguientes afirmaciones es INCORRECTA?:
1. La glibenclamida es una sulfonilurea que incrementa la liberación de insulina desde las células β pancreáticas inhibiendo los canales de potasio sensibles a adenosina trifosfato (ATP) de la membrana plasmática.
2. La metformina es un medicamento de primera línea para el tratamiento de la diabetes tipo 2, particularmente útil en pacientes obesos con resistencia a la insulina y en pacientes con hiperlipidemia.
3. Las glitazonas pueden reducir la densidad mineral ósea e incrementar el riesgo de osteoporosis y fracturas en mujeres ancianas.
4. La semaglutida es un antagonista del receptor del péptido similar a glucagón 1 (GLP-1) que combinado con una sulfonilurea o metformina reduce el peso corporal.

94. Indicar cuál de las siguientes afirmaciones es INCORRECTA:
1. La muscarina no es responsable de los efectos de la Amanita muscaria en el SNC.
2. Los anestésicos locales pueden ser ésteres o amidas.
3. Atropina y escopolamina presentan los mismos efectos sobre el SNC.
4. Los bloqueantes neuromusculares despolarizantes producen una contracción muscular inicial.

95. En relación con los medicamentos utilizados para el tratamiento de las hiperlipemias, es INCORRECTO que:
1. La ezetimiba se puede utilizar de manera aislada o en combinación con una estatina en el tratamiento de la hipercolesterolemia.
2. La niacina se acompaña de una incidencia de miopatía y de rabdomiólisis mayor a la de los fibratos cuando se utiliza en combinación con una estatina.
3. La simvastatina es un profármaco que actúa inhibiendo la hidroximetilglutaril-Coenzima A reductasa, enzima limitante en la síntesis de colesterol.
4. Las resinas de fijación de los ácidos biliares son polímeros de alto peso molecular que contienen un ion cloruro que puede ser intercambiado con los ácidos biliares en el intestino.

96. De las siguientes reacciones adversas que se pueden producir tras la administración de anfotericina B, ¿cuál es considerada de mayor incidencia y gravedad?:
1. Nefrotoxicidad.
2. Insuficiencia hepática aguda.
3. Alteraciones hematológicas.
4. Arritmias cardíacas.

97. ¿Cuál de las siguientes afirmaciones es INCORRECTA en relación con las propiedades terapéuticas de los opioides?:
1. Se requieren dosis mayores de morfina cuando el fármaco se administra por vía oral que por vía parenteral.
2. Las mujeres embarazadas y madres lactantes que son metabolizadoras ultrarrápidas de codeína pueden presentar un riesgo de exposición letal a morfina del feto o del lactante.
3. Debido a su potencia elevada y a su liposolubilidad, el fentanilo ha sido formulado en un parche cutáneo transdérmico de acción prolongada para aportar un alivio continuo para el dolor en pacientes con dolor crónico o grave.
4. La naloxona y la naltrexona son agonistas competitivos del receptor de opioides que pueden potenciar los efectos de la morfina.

98. ¿Cuál de los siguientes antipsicóticos es conocido por su capacidad de producir agranulocitosis?:
1. Risperidona.
2. Quetiapina.
3. Olanzapina.
4. Clozapina.

99. ¿Qué afirmación es correcta sobre la hidroxizina?:
1. Es un inhibidor selectivo de la recaptación de serotonina (ISRS) con inicio de acción rápido.
2. Es una benzodiacepina de acción corta.
3. Es un antihistamínico H1 con propiedades ansiolíticas.
4. Es un agonista parcial de receptores 5-HT1A.

100. ¿Cuándo la concentración de fármaco excretado en saliva puede ser mayor que la concentración plasmática?:
1. Cuando el fármaco es muy liposoluble.
2. Cuando el fármaco es muy hidrosoluble.
3. Cuando el fármaco no se une a proteínas plasmáticas.
4. Cuando el fármaco es secretado por transporte activo.

101. ¿Cuál de las siguientes interacciones presenta riesgo de producir un síndrome serotoninérgico?:
1. Inhibidor selectivo de la recaptación de serotonina (ISRS) y betabloqueantes.
2. Inhibidor selectivo de la recaptación de serotonina (ISRS) e inhibidores de la monoamino oxidasa (IMAO).
3. Inhibidor selectivo de la recaptación de serotonina (ISRS) y estatinas.
4. Inhibidor selectivo de la recaptación de serotonina (ISRS) y antiácidos.

102. Una intoxicación se revierte o atenúa con la administración de obidoxima y atropina. Estaríamos ante un caso de:
1. Intoxicación por bloqueantes neuromusculares no despolarizantes.
2. Privinismo.
3. Intoxicación por organofosforados.
4. Intoxicación por antimuscarínicos.

103. ¿Cuál de los siguientes objetivos NO es prioritario en el abordaje de la obesidad?:
1. Una disminución del riesgo metabólico.
2. La mejora de la imagen corporal y de la autoestima.
3. La disminución del peso corporal.
4. La prevención y el tratamiento de las complicaciones asociadas.

104. La utilización de alopurinol en la gota está justificada porque:
1. No es un análogo estructural de la hipoxantina.
2. Aumenta bruscamente el urato monosódico (UMN) durante la crisis gotosa.
3. Es excelente en hiperuricemias asintomáticas.
4. Inhibe la xantinaoxidasa y permite aplicar la escalada de dosis.

105. ¿Cuál de las siguientes plantas medicinales ha demostrado beneficios en afecciones de la retina?:
1. Hammamelis (Hammamelis virginiana).
2. Castaño de Indias (Aesculus hippocastanum).
3. Ginkgo (Ginkgo biloba).
4. Arándano negro (Vaccinium myrtillus).

106. ¿Cuál de las siguientes afirmaciones es INCORRECTA en relación con los alcaloides de Papaver somniferum?:
1. La morfina es un potente analgésico que actúa sobre los receptores de endorfinas.
2. De la tebaína se obtiene la codeína por semisíntesis.
3. La noscapina es un potente antitusivo de uso en pediatría.
4. Todos son bencilisoquinoleínicos.

107. ¿Cuál de las siguientes afirmaciones referidas a la Atropa belladonna es INCORRECTA?:
1. Se recolectan las hojas y raíces de la planta.
2. Contiene los alcaloides hiosciamina y atropina.
3. La atropina es más activa que la hiosciamina.
4. La belladona tiene propiedades antiasmáticas y antiespasmódicas.

108. La vía sublingual se caracteriza por:
1. Permite administrar dosis altas, superiores a 100 mg.
2. Lenta velocidad de absorción.
3. Rápido inicio del efecto terapéutico.
4. Proveer valores del ABC bajos.

109. Si un fármaco en desarrollo presenta un número de dosis (Do)=1,4 y un número de absorción (An)=1,5, ¿a qué clase pertenece dentro del sistema de clasificación biofarmacéutica (BCS)?:
1. Clase I.
2. Clase II.
3. Clase III.
4. Clase IV.

110. ¿Cuál será la consecuencia de la administración de warfarina a un paciente con un polimorfismo en el CYP2D6 que lo convierte en un metabolizador ultrarrápido de este fármaco?:
1. Ineficacia.
2. Toxicidad.
3. Aumento de efectos adversos.
4. Ninguno, pues la warfarina no se metaboliza en el hígado.

111. Tras la administración de fármacos con elevada unión a proteínas plasmáticas a pacientes con hipoproteinemia, la concentración de fármaco libre es:
1. Mayor que en pacientes con niveles normales de proteínas plasmáticas.
2. Igual que en pacientes con niveles normales de proteínas plasmáticas.
3. Menor que en pacientes con niveles normales de proteínas plasmáticas.
4. Depende de la patología.

112. Un biosimilar debe presentar elevada similitud respecto al medicamento de referencia en términos de:
1. Eficacia y seguridad.
2. Eficacia, seguridad y propiedades físicas, químicas y biológicas.
3. Eficacia y propiedades físico-químicas.
4. Seguridad y propiedades físicas, químicas y biológicas.

113. Los denominados factores de diferencia (f1) y de similitud (f2) se aplican en:
1. El cálculo de la biodisponibilidad en magnitud.
2. La aprobación de biosimilares únicamente.
3. La comparación de perfiles de disolución.
4. La comparación de perfiles de absorción.

114. ¿Cuál es el significado del parámetro farmacocinético área bajo la curva (ABC) obtenido tras la administración de un fármaco en dosis única por vía oral y en qué unidades se representa?:
1. El ABC representa la velocidad de eliminación del fármaco y se expresa en unidades de volumen por tiempo (por ejemplo, L/h).
2. El ABC mide el grado de exposición sistémica total al fármaco del organismo y se expresa como el producto de concentración por tiempo (por ejemplo, mg.h/L).
3. El ABC se utiliza como medida de la concentración plasmática máxima alcanzada y se expresa en unidades de masa por tiempo (por ejemplo, mg/L).
4. El ABC simplemente indica el tiempo que tarda el fármaco en alcanzar la concentración plasmática máxima y al ser un área carece de unidades.

115. En un régimen de dosis múltiples caracterizado por una dosis de mantenimiento y un intervalo de dosificación, ¿cuándo se considera que se alcanza el estado de equilibrio o steady-state?:
1. Cuando la cantidad de fármaco eliminado durante cada intervalo de dosificación es igual a la dosis o cantidad administrada.
2. Cuando ha transcurrido una semivida de eliminación del fármaco.
3. Cuando transcurren 24 horas de tratamiento.
4. Cuando aumenta la acumulación del fármaco en circulación sistémica.

116. En los estudios de bioequivalencia entre 2 formulaciones administradas por vía oral cuando se recurre a un ensayo cruzado aleatorio de 2 vías, debe realizarse un periodo de lavado entre la administración consecutiva de las 2 formulaciones estudiadas. Para un fármaco de semivida de eliminación de 2 horas, ¿cuál sería el mínimo periodo de tiempo de lavado para garantizar la completa eliminación del fármaco?:
1. 2 horas.
2. 4 horas.
3. 12 horas.
4. 20 horas.

117. Si la cantidad de fármaco en el organismo se reduce desde el 100% al 25% de una dosis administrada por vía intravenosa tipo bolus en 16 horas, ¿cuál es el valor de la semivida de eliminación de este fármaco? (asumir cinética de eliminación de primer orden):
1. 8 horas.
2. 12 horas.
3. 16 horas.
4. 4 horas.

118. En algunas formulaciones farmacéuticas de liberación controlada administradas por vía oral puede ocurrir un fenómeno conocido como flip-flop, ¿cuándo se produce este fenómeno?:
1. Cuando las constantes de velocidad de orden uno de absorción (Ka) y eliminación (Ke) presentan valores similares.
2. Cuando la constante de velocidad de orden uno de absorción (Ka) presenta valores mucho más altos que la constante de velocidad de eliminación (Ke).
3. Cuando la constante de velocidad de orden uno de absorción (Ka) presenta valores mucho más bajos que la constante de velocidad de eliminación (Ke).
4. Cuando se observa un descenso significativo del aclaramiento plasmático.

119. ¿Cuál es la vía principal de eliminación para la mayoría de los fármacos biológicos de alto peso molecular (como las proteínas terapéuticas y anticuerpos monoclonales)?:
1. Filtración glomerular directa y excreción renal.
2. Metabolismo por enzimas del citocromo P450 (CYP) en el hígado.
3. Captación y degradación intracelular por vía proteolítica (vía del sistema retículoendotelial/lisosomal).
4. Excreción biliar y posterior eliminación fecal.

120. ¿Cuál de las siguientes es una característica de la hélice del colágeno?:
1. Es dextrógira.
2. Contiene dos residuos aminoacídicos por vuelta de hélice.
3. Contiene un 35% de glicina, un 11% de alanina y un 21% de prolina e hidroxiprolina, aproximadamente.
4. Se enrolla en sentido dextrógiro con otra hélice formando una doble hélice de tropocolágeno.

121. En el estudio de la cinética enzimática, la representación de Lineweaver-Burk o de los dobles recíprocos es una transformación algebraica de la ecuación de Michaelis Menten en la que:
1. El valor de la constante de Michaelis-Menten (Km) coincide con la concentración de sustrato cuando la velocidad es la mitad de la velocidad máxima (Vmax).
2. El valor de la ordenada en el origen es igual a -1/Vmax.
3. El valor de la abscisa en el origen es igual a 1/Km.
4. La pendiente de la recta equivale Km/Vmax.

122. Una ceramida es un lípido estructural que se incluye en el grupo de:
1. Los esfingolípidos.
2. Los glicerofosfolípidos.
3. Las esfingomielinas.
4. Las fosfatidilcolinas.

123. Las moléculas de ácido ribonucleico transferente o de transferencia presentan:
1. Apareamientos guanilato-uridilato y adenilato-timidilato en su estructura secundaria.
2. Un triplete nucleotídico de citidilato-citidilato-adenilato en el extremo 3' de su brazo aminoacídico.
3. Un aminoácido unido al extremo 5' de su brazo aminoacídico.
4. Numerosos residuos de ribotimidina en el brazo D.

124. Los electrones procedentes de la reacción catalizada por la acil graso deshidrogenasa entran en la cadena de transporte electrónico mitocondrial a nivel de:
1. Succinato deshidrogenasa.
2. NADH deshidrogenasa.
3. Ubiquinona.
4. Citocromo c oxidasa.

125. La piruvato carboxilasa cataliza la primera reacción de la gluconeogénesis, transformando el piruvato en oxalacetato. ¿Cuál de los siguientes compuestos es su activador alostérico?:
1. Adenosina trifosfato (ATP).
2. Citrato.
3. Acetil-Coenzima A.
4. Oxalacetato.

126. Después de una comida rica en glúcidos se produce un aumento de la secreción de insulina por el páncreas lo que provoca:
1. Estimulación de la síntesis de ácidos grasos y triacilglicéridos en el hígado.
2. Inhibición de la síntesis de glucógeno en el hígado.
3. Aumento de la glucemia.
4. Estimulación de la degradación de glucógeno en el hígado.

127. ¿Cuál de las afirmaciones siguientes relacionadas con los cuerpos cetónicos es correcta?:
1. El cerebro utiliza normalmente estos compuestos como fuente de energía.
2. Se forman cuando se inactiva la beta-oxidación y se activa la glucólisis.
3. Son productos metabólicos que se eliminan por la orina.
4. Se sintetizan a partir de acetil-Coenzima A en el tejido hepático.

128. La glucosa se sintetiza a partir de precursores no glucídicos a través de la gluconeogénesis. ¿Dónde tiene lugar esta ruta?:
1. En el cerebro porque necesita un suministro constante de glucosa.
2. En los eritrocitos que solo pueden obtener energía de la glucosa por no disponer de mitocondrias.
3. En el músculo esquelético porque necesita glucosa para la contracción muscular.
4. En el tejido hepático para mantener los niveles de glucosa en sangre.

129. Si una persona presenta una deficiencia de la vitamina biotina, ¿cuál de las siguientes enzimas NO puede catalizar la reacción correspondiente en la síntesis de glucosa a partir de piruvato?:
1. Piruvato carboxilasa.
2. Fosfoenolpiruvato carboxiquinasa (PEPCK).
3. Fructosa 1,6-bisfosfatasa.
4. Fosfoglicerato quinasa.

130. ¿Cuál de los siguientes péptidos sería susceptible de ser prenilado?:
1. -Asn-Ile-Gly-His-Cys-Ala-Leu-Leu.
2. -Pro-Ile-Cys-Lys-Met-Glu.
3. -Ile-Cys-Ala-Asn-Thr-Ile-Cys-Ala-Asn-Thr.
4. -Ala-Ile-Asn-Thr-Met-Glu-Pro-Ile-Cys-Lys-Ala.

131. ¿Cuál de las siguientes afirmaciones es correcta con relación a los grupos glicosil fosfatidil inositol (GPI)?:
1. Modifican el extremo N terminal de la proteína aceptora.
2. La parte oligosacarídica contiene tres residuos de manosa y uno de glucosamina.
3. Están presentes en la membrana plasmática de los organismos procariotas y eucariotas.
4. El inositol puede ser modificado por pequeños péptidos catiónicos transmembranales.

132. ¿Cuál de las siguientes afirmaciones es INCORRECTA en relación a la técnica de PCR (reacción en cadena de la polimerasa)?:
1. Se emplea una ADN polimerasa termorresistente.
2. Es necesario un ARN complementario a una de las dos cadenas del ADN.
3. Se requieren dos oligonucleótidos, cada uno de ellos complementario a cada una de las cadenas del ADN.
4. El ADN se debe calentar a una temperatura que produzca la disociación de sus dos cadenas.

133. ¿Qué estudia la epigenómica?:
1. La secuencia de nucleótidos del genoma.
2. Las modificaciones covalentes del ADN y las histonas, y su influencia sobre la expresión génica.
3. La expresión de los diferentes genes en un determinado tipo celular, órgano o tejido.
4. La identificación y cuantificación del conjunto de proteínas obtenidas por la traducción de los ARN mensajeros.

134. ¿Qué es la poliadenilación del ARN mensajero?:
1. La adición de nucleótidos de adenina al extremo 3' del ARN mensajero.
2. La adición de nucleótidos de adenina al extremo 5' del ARN mensajero.
3. La modificación covalente de nucleótidos de adenina del ARN mensajero.
4. La eliminación de nucleótidos de adenina del extremo 5' del ARN mensajero.

135. En la replicación del ADN, ¿cómo se denominan las enzimas necesarias para la separación de las dos cadenas?:
1. Primasas.
2. Ligasas.
3. Helicasas.
4. Topoisomerasas.

136. ¿Cuál es el papel de los fragmentos de Okazaki en la replicación del ADN?:
1. Participan en la síntesis de la hebra conductora.
2. Participan en la síntesis de la hebra rezagada.
3. Participan en la formación de los telómeros.
4. Son las secuencias del ADN a las que se une la Dna A.

137. ¿Cuál es la función de la caperuza del extremo 5' del ARN mensajero eucariota?:
1. Es necesaria para que el ARN mensajero atraviese el poro nuclear.
2. Participa en el corte de los intrones.
3. Participa en el empalme de los exones.
4. Protege al ARN mensajero de las ribonucleasas.

138. De las siguientes afirmaciones, ¿cuál es INCORRECTA con respecto a la traducción del ARN mensajero?:
1. El primer codón que se traduce es el de la metionina.
2. La secuencia de Shine-Dalgarno posiciona al codón de inicio en la subunidad pequeña del ribosoma.
3. En la elongación de la cadena polipeptídica, uno de los factores de elongación tiene actividad correctora.
4. En eucariotas, la terminación de la traducción requiere dos factores de liberación.

139. ¿Cuál es el marcador tumoral sérico con mayor utilidad en el pronóstico y seguimiento del cáncer colorrectal?:
1. La sangre oculta en heces.
2. Antígeno carbohidrato 19-9 (CA 19-9).
3. Antígeno carcinoembrionario (CEA).
4. Calprotectina.

140. ¿Qué situación clínica cursa con hiperbilirrubinemia no conjugada?:
1. Hepatitis vírica aguda.
2. Colestasis intrahepática.
3. Hemocromatosis avanzada.
4. Síndrome de Gilbert.

141. De los biomarcadores que se citan, ¿cuál es el marcador más específico para el diagnóstico del infarto miocárdico?:
1. Actividad de lactato deshidrogenasa.
2. Actividad de aspartato aminotransferasa.
3. Concentración de isoenzima MB de la creatina quinasa.
4. Concentración de isoforma C de la troponina.

142. La apolipoproteína B se presenta en dos isoformas a partir del mismo transcripto de ARNm. ¿Por qué mecanismo se forman?:
1. Corte-empalme (Splicing) alternativo del ARNm.
2. Edición del ARNm maduro por desaminación de una citosina.
3. Uso de diferentes promotores en el gen de la apolipoproteína B.
4. Traducción iniciada desde diferentes codones de partida.

143. En el remodelado óseo, señale el marcador de resorción ósea:
1. Hormona paratiroidea.
2. Fosfatasa alcalina ósea.
3. Osteocalcina.
4. Telopéptidos del colágeno tipo I.

144. ¿En qué condición la osmolalidad de la orina es mayor que la del plasma?:
1. Potomanía.
2. Diabetes insípida.
3. Secreción inadecuada de la hormona antidiurética.
4. Insuficiencia renal crónica.

145. ¿Cuál es el marcador bioquímico más utilizado en la monitorización y seguimiento del hepatocarcinoma?:
1. Bilirrubina total.
2. Alfa-fetoproteína.
3. Cociente AST/ALT.
4. Fosfatasa alcalina.

146. ¿Qué aditivo se añade a las orinas para la estabilización de las catecolaminas?:
1. Carbonato sódico.
2. Ácido clorhídrico.
3. Sulfato amónico.
4. Éter de petróleo.

147. ¿Qué marcador se utiliza para evaluar la permeabilidad de la barrera hematoencefálica?:
1. Concentración de albúmina en el líquido cefalorraquídeo frente a su concentración en suero.
2. Concentración de la proteína "Tau" en el líquido cefalorraquídeo.
3. Concentración de glucosa a ambos lados de la barrera.
4. Criterios de Light.

148. ¿Qué parámetro se utiliza para validar la precisión de un método analítico en control de calidad farmacéutico?:
1. Límite de detección.
2. Coeficiente de variación.
3. Tiempo de retención.
4. Resolución.

149. ¿Cuál es la principal ventaja del detector de masas respecto al detector ultravioleta visible en la cromatografía líquida de alta resolución (HPLC)?:
1. Mayor simplicidad operativa.
2. Menor coste de análisis.
3. Permite identificar compuestos incluso en mezclas complejas.
4. Menor necesidad de calibración.

150. ¿Cuál de las siguientes técnicas es más adecuada para la determinación cuantitativa de metales pesados en agua del mar?:
1. Espectrofotometría UV-Vis.
2. Cromatografía de gases.
3. Espectrometría de absorción atómica.
4. Potenciometría.

151. ¿Qué parámetro se utiliza para evaluar la sensibilidad de un método analítico?:
1. Límite de detección.
2. Coeficiente de variación.
3. Selectividad.
4. Linealidad.

152. ¿En qué propiedad física se basan las técnicas instrumentales de análisis de la turbidimetría y la nefelometría?:
1. En la absorción de radiación.
2. En la refracción de radiación.
3. En la dispersión de radiación.
4. En la emisión de radiación.

153. ¿Qué método instrumental de análisis está basado en la absorción de radiación?:
1. La resonancia magnética nuclear.
2. La espectroscopía de fosforescencia.
3. La espectroscopía de fluorescencia.
4. La espectroscopía Raman.

154. ¿Cuál de los siguientes parámetros de calidad de los métodos instrumentales, hace referencia a la precisión de los datos experimentales?:
1. La media geométrica.
2. El error relativo.
3. El coeficiente de variación.
4. El coeficiente de selectividad.

155. Si la ecuación de calibración para las señales (S) medidas, viene dada por la siguiente expresión matemática: S=0,037+1,25 [analito]. ¿Qué es el valor de 1,25 S/[analito]?:
1. El límite de detección.
2. La sensibilidad de calibrado.
3. El coeficiente de selectividad.
4. El límite de confianza.

156. ¿Cuál de las siguientes metodologías NO sirve para aumentar la relación señal/ruido de un instrumento de medida?:
1. Filtrado digital mediante el promediado de señales.
2. Uso de amplificadores.
3. Filtrado digital con transformada de Fourier.
4. Uso de dispositivos de alta impedancia.

157. ¿Cuál de estos procedimientos es el que se lleva a cabo en el método de calibración de las adiciones estándar?:
1. Se determina la abscisa en el origen.
2. Se preparan patrones con concentraciones conocidas de analito.
3. Se representa la señal frente a la concentración de analito de los patrones.
4. Se añade a todas las muestras (blanco, patrones y problema) una cantidad fija de una sustancia.
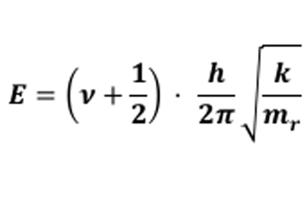
Imagen pregunta 158
158. ¿Qué representa la letra griega "ν" en la siguiente ecuación?:
1. La constante de fuerza del enlace.
2. La masa reducida de los átomos que constituyen el enlace.
3. El número cuántico vibracional.
4. La frecuencia vibracional del enlace.

159. ¿A qué se denomina radiación parásita en las medidas espectroscópicas?:
1. A aquella liberada por el disolvente.
2. A la que resulta de reflexiones y dispersiones sin haber pasado por la muestra.
3. A la producida por especies interferentes de la muestra ajenas al analito.
4. A la que no llega a alcanzar el detector.

160. ¿Cuál de estos fenómenos origina ensanchamiento de las bandas espectrales en la espectroscopía atómica?:
1. La radiación parásita.
2. Las interferencias químicas.
3. El efecto Zeeman.
4. El efecto Doppler.

161. Si el orden de reacción con respecto a un reactivo A en un determinado proceso es dos:
1. La vida media de ese reactivo A es independiente de la concentración inicial de A.
2. La vida media de ese reactivo A es directamente proporcional a la concentración inicial de A.
3. La vida media de ese reactivo A es inversamente proporcional a la concentración inicial de A.
4. La vida media de ese reactivo A es directamente proporcional al cuadrado de la concentración inicial de A.

162. En un fluido newtoniano, la viscosidad (η) es:
1. Constante y no depende del gradiente de velocidad.
2. Variable y depende del tiempo de flujo.
3. Proporcional al cuadrado del gradiente de velocidad.
4. Inversamente proporcional al gradiente de concentración.

163. En un sistema donde la difusión de una sustancia es uniforme y estacionaria, ¿cuál de las siguientes afirmaciones es correcta?:
1. El flujo de difusión aumenta con el tiempo.
2. El gradiente de concentración permanece constante con el tiempo.
3. La difusión no depende del coeficiente de difusión.
4. La concentración del soluto varía de forma no lineal con la posición.

164. Indique con cuál de los siguientes estudios de toxicidad está relacionado el Test de Ames:
1. Toxicidad oral aguda.
2. Mutagénesis.
3. Toxicidad por vía inhalatoria.
4. Irritación cutánea.

165. La inducción de anemia hemolítica por medicamentos relativamente inocuos en unos determinados individuos se debe:
1. A un fenómeno de resistencia al fármaco.
2. A una deficiencia de la glucosa-6-fosfato deshidrogenasa (G6PD) que incrementa el potencial reductor del hematíe, haciéndolo más frágil.
3. A una deficiencia de la G6PD que provoca una disminución del potencial reductor del hematíe, debilitando la integridad de la membrana.
4. A que provocan un incremento del glutatión en la célula sanguínea.

166. El antituberculoso isoniazida no se puede tomar con queso curado ya que:
1. El efecto inhibidor de la monoamino oxidasa (MAO) de la isoniazida puede hacer que se incrementen los niveles plasmáticos de aminas presoras y producir hipertensión arterial.
2. El efecto inhibidor de la MAO de la isoniazida puede antagonizar los efectos antiinfecciosos frente a Mycobacterium tuberculosis.
3. Se bloquea su absorción gástrica al formar quelatos.
4. Se debe esperar una semana después de terminar el tratamiento con isoniazida-nicotínicos.

167. El flumazenilo:
1. Es un antagonista inverso del complejo macromolecular del ionóforo de cloro mediado por GABA.
2. Es un agonista parcial de las β-carbolinas.
3. Es un antagonista de benzodiacepinas.
4. Es un α-adrenérgico.

168. El principal responsable de la toxicidad del paracetamol es:
1. El derivado glucurónico formado durante su biotransformación.
2. La N-acetil-p-quinoneimina (NAPQI), metabolito intermedio de su biotransformación.
3. La N-acetil-p-quinoneimina (NAPQI), metabolito final de su biotransformación.
4. El derivado sulfurado formado durante su biotransformación.

169. ¿Cuáles de los siguientes signos clínicos condicionan el pronóstico de una intoxicación por antidepresivos tricíclicos?:
1. Trastornos neurológicos.
2. Síndrome anticolinérgico.
3. Alteraciones del electrocardiograma: QRS más ancho.
4. Alteraciones gastrointestinales.
Imagen pregunta 170
170. ¿Cuál de las siguientes afirmaciones es cierta?:
1. A y B tienen la misma solubilidad en H2O.
2. A y C tienen el mismo punto de ebullición.
3. B y C tienen diferente momento dipolar.
4. B y C tienen diferente signo de la rotación óptica específica.
Imagen pregunta 171
171. ¿Cuál de las siguientes bases es la adecuada para que el equilibrio de la reacción ácido-base representada se desplace completamente hacia la derecha?:
1. NaOH.
2. H2O.
3. EtONa.
4. NaNH2.

172. ¿Cuál de las siguientes afirmaciones es cierta en relación al efecto de un sustituyente activante en las reacciones de sustitución electrófila aromática?:
1. Dirige en orto y para.
2. Dirige en meta.
3. Dirige en orto y para si es un sustituyente activante débil y en meta si es un activante fuerte.
4. Disminuye la reactividad del anillo.

173. Las fuerzas intermoleculares entre las moléculas de clorometano son:
1. Fuerzas ion-dipolo.
2. Fuerzas dipolo-dipolo inducido.
3. Fuerzas dipolo-dipolo.
4. Puentes de hidrógeno.

174. El elemento hierro (Fe) es un:
1. Metal de transición.
2. Metal alcalinotérreo.
3. Halógeno.
4. Metal alcalino.

175. El ion nitrato presenta una estructura:
1. Trigonal plana.
2. Angular.
3. Trigonal piramidal.
4. Tetraédrica.

176. El ion permanganato es una especie fuertemente oxidante debido a que:
1. El átomo de manganeso está en un estado de oxidación intermedio.
2. Posee un potencial estándar de reducción positivo elevado.
3. Posee un potencial estándar de reducción negativo elevado.
4. Su potencial estándar de reducción es parecido al del protón.

177. En el intestino delgado humano, ¿qué mecanismo describe con mayor precisión la absorción de glucosa, galactosa y fructosa?:
1. La glucosa y la galactosa por co-transporte con sodio; fructosa por transporte facilitado independiente de sodio.
2. Las tres por difusión simple a favor de gradiente.
3. La fructosa comparte el mismo co-transporte con el sodio que la glucosa.
4. La galactosa se absorbe únicamente por difusión simple en el yeyuno.

178. En el ayuno prolongado (≥72 h) de un adulto sano hemodinámicamente estable, ¿cuál de los siguientes cambios metabólicos es más característico en el sistema nervioso central?:
1. Mayor utilización de cuerpos cetónicos con disminución relativa de la gluconeogénesis y ahorro proteico progresivo.
2. Incremento sostenido de la secreción de insulina con reducción de glucagón.
3. Mantenimiento del cociente respiratorio próximo a 1 por oxidación preferente de glucosa.
4. Aumento progresivo del catabolismo proteico sin fase de ahorro de proteína.

179. ¿Cómo se calcula la carga glucémica?:
1. Índice glucémico x gramos de hidratos de carbono digeribles de cada alimento.
2. Índice glucémico x gramos de fibra + 100.
3. Porcentaje de hidratos de carbono x kilocalorías totales.
4. Gramos de glucosa posprandial x área bajo la curva.

180. En adultos mayores, ¿qué medida antropométrica es el mejor indicador simple de masa muscular periférica para cribado clínico?:
1. Circunferencia de la pantorrilla medida en el perímetro máximo (cm).
2. Circunferencia de la cintura al final de una espiración normal (cm).
3. Pliegue tricipital en brazo dominante (mm).
4. Circunferencia craneal (cm).

181. ¿Qué test estadístico utilizaría para comparar dos medias de poblaciones independientes? Resultados previos: Test de Kolmogorov-Smirnov p>0,05 y test de Levene p<0,05:
1. Anova de un factor.
2. Test t de Welch.
3. Test de Wilcoxon.
4. Test de Mann-Whitney.

182. En un ensayo clínico en el que se compara la eficacia de un fármaco vs placebo, se obtiene el siguiente intervalo de confianza (IC 95%) para la diferencia de medias: IC=(-3,2;1,4). En base a esto se puede afirmar que:
1. La diferencia media es de 1,4.
2. Se rechaza la hipótesis nula.
3. La diferencia de medias es estadísticamente significativa (p<0,05).
4. No hay diferencia estadísticamente significativa entre las medias.

183. Una prueba diagnóstica con sensibilidad del 100% y especificidad del 50% tiene como principal inconveniente:
1. Produce muchos falsos positivos.
2. Produce muchos falsos negativos.
3. Tiene un valor predictivo bajo.
4. No detecta a todos los individuos enfermos.

184. Un gráfico de dispersión representa los valores de índice de masa corporal (eje X) y presión arterial sistólica (eje Y) correspondientes a 125 pacientes. La nube de puntos tiene una tendencia claramente ascendente. ¿Qué estadístico resume esta relación?:
1. Coeficiente de variación.
2. Desviación estándar.
3. Coeficiente de correlación de Pearson.
4. Media.

185. Si un laboratorio farmacéutico X es el titular de una patente española de producto de un fármaco, ¿cuál de las siguientes afirmaciones es cierta durante el periodo de vigencia de la patente?:
1. Otros laboratorios distintos de X podrán comercializar en España medicamentos que lo contengan sin consentimiento de X.
2. Los medicamentos que contengan este fármaco solo podrán ser prescritos y dispensados con autorización expresa de X.
3. La titularidad de esta patente concede automáticamente a X también la autorización de comercialización de los medicamentos que contengan exclusivamente este fármaco.
4. Ningún laboratorio podrá comercializar en España medicamentos de uso humano que contengan este fármaco si estos medicamentos no tienen la autorización de comercialización correspondiente.

186. Conforme al Real Decreto 1090/2015, de 4 de diciembre, por el que se regulan los ensayos clínicos con medicamentos, los Comités de Ética de la Investigación con medicamentos y el Registro Español de Estudios Clínicos, ¿qué es responsabilidad del monitor?:
1. Solicitar el dictamen del Comité de Ética de la Investigación con medicamentos y la autorización de la Agencia Española de Medicamentos y Productos Sanitarios.
2. Verificar que el investigador cumple el protocolo y todas sus modificaciones aprobadas.
3. Corresponsabilizarse con el promotor de la elaboración del informe final del ensayo, dando su acuerdo con su firma.
4. Designar el investigador que llevará a cabo el ensayo.

187. ¿Qué condiciones deben cumplir los medicamentos con sustancias psicoactivas con potencial adictivo que están incluidas en la lista I de la Convención Única de 1961 sobre Estupefacientes?:
1. Solo podrán ser dispensados si están prescritos en la correspondiente receta oficial de sustancias psicotrópicas.
2. Solo podrán ser dispensados si están prescritos en el correspondiente vale de estupefacientes.
3. Su dispensación debe registrase en el correspondiente libro de contabilidad de estupefacientes.
4. Solo podrán dispensarse en el marco de un ensayo clínico convenientemente autorizado.

188. ¿Qué afirmación sobre la publicidad de medicamentos destinada al público en general es cierta?:
1. Sólo puede hacerse respecto a medicamentos que se financien con fondos públicos y que estén destinados y concebidos para su utilización con la intervención de un médico.
2. Debe incluir mensajes que mencionen expresamente que es un producto garantizado por haber obtenido una autorización sanitaria.
3. No requiere autorización administrativa previa si el medicamento objeto de publicidad no está sujeto a prescripción médica.
4. Debe incluir mensajes en los que se recomiende expresamente la consulta de la ficha técnica del medicamento para su correcta utilización.

189. ¿Cómo se define un medicamento genérico?:
1. Todo medicamento que tenga la misma composición cualitativa y cuantitativa en principios activos y la misma forma farmacéutica, y cuya bioequivalencia con el medicamento de referencia haya sido demostrada por estudios adecuados de biodisponibilidad.
2. Todo medicamento que tenga el mismo nivel 5 de la clasificación anatómico-terapéutico-química de medicamentos de la Organización Mundial de la Salud e idéntica vía de administración que el medicamento designado como referencia para la elaboración del conjunto de referencia de la prestación farmacéutica del Sistema Nacional de Salud.
3. Todo medicamento financiado por el Sistema Nacional de Salud que no pueda ser objeto de intercambio en la dispensación.
4. Un medicamento destinado a un paciente individualizado, preparado por un farmacéutico o bajo su dirección, para cumplimentar expresamente una prescripción facultativa detallada de los principios activos que incluye.

190. El proceso de maduración/aumento de afinidad del receptor de los linfocitos B durante su activación en una respuesta inmune adaptativa se relaciona con:
1. La selección positiva de los linfocitos B en la médula ósea tras sufrir un proceso de recombinación somática que genera las zonas variables de su receptor.
2. La selección positiva por las células dendríticas foliculares de los linfocitos B que han sufrido un proceso de hipermutación somática en las zonas variables de su receptor.
3. La transformación de los linfocitos B en células plasmáticas de vida corta tras el contacto con el antígeno.
4. El proceso por el cual las células plasmáticas generadas durante la respuesta inmune adaptativa se asientan en la medula ósea y comienzan a producir anticuerpos específicos.

191. ¿Cuál de las siguientes enfermedades se relaciona con un defecto en el sistema NADPH-oxidasa (PHOX) de los fagocitos?:
1. Enfermedad granulomatosa crónica.
2. Deficiencia de la adhesión leucocitaria.
3. Enfermedad de Chediak-Higashi.
4. Síndrome del linfocito desnudo.

192. ¿Cuál es el mecanismo molecular inicial que dispara una reacción inmediata en un proceso de alergia después de la sensibilización a un alérgeno?
1. Activación y desgranulación de los neutrófilos mediada por el receptor del complemento CR3 (CD11b o Mac1).
2. Activación y desgranulación de los linfocitos T citotóxicos mediada por sus receptores específicos.
3. Activación y desgranulación de los linfocitos natural killer mediada por el receptor CD16a (FcγRIIIA).
4. Activación y desgranulación de los mastocitos mediada por receptores de anticuerpos del tipo FcεRI.

193. ¿Cuál es el mecanismo que media un rechazo hiperagudo en minutos u horas a aloinjertos generando una oclusión trombótica de sus vasos sanguíneos?:
1. Los linfocitos T específicos de antígenos endoteliales del injerto.
2. Anticuerpos generados por una respuesta inmune frente a moléculas del HLA vasculares del injerto.
3. Anticuerpos preformados frente a antígenos vasculares del injerto.
4. Activación del inflamasoma por receptores de reconocimiento de patrón citoplásmicos.

194. ¿Cuál de las siguientes señales reciben los linfocitos en las placas de Peyer durante una respuesta inmune adaptativa para que estas células activadas adquieran un fenotipo para su alojamiento intestinal?:
1. Vitamina D.
2. Ácido retinoico.
3. Prostaglandinas.
4. IL-10.

195. ¿Cuál de estas enzimas colabora añadiendo nucleótidos al azar (nucleótidos N) durante la recombinación somática para la producción de los receptores específicos de los linfocitos?:
1. La desoxinucleotidil transferasa terminal (TdT).
2. La artemisa.
3. Las enzimas de los genes activadores de la recombinación 1 y 2 (RAG1/RAG2).
4. La indolamina 2,3-dioxigenasa (IDO).

196. ¿Qué respuesta del sistema inmune esperaría que se viera afectada en pacientes en los que alguna de las cadenas del correceptor CD3 no pueda expresarse por una mutación?:
1. La respuesta de los neutrófilos frente a virus y bacterias extracelulares.
2. La respuesta de los linfocitos T frente a virus y bacterias intracelulares.
3. La respuesta de los linfocitos B frente a los antígenos T-independientes.
4. La respuesta de activación del complemento por la vía alternativa.

197. Señale la afirmación correcta sobre los determinantes de la salud:
1. No son susceptibles de modificación alguna.
2. Están relacionados con los comportamientos compartidos por un grupo social en un momento determinado.
3. Todos ellos se modifican con la edad.
4. Ninguno de ellos guarda relación con la mortalidad de una población.

198. Respecto al sistema de enfermedades de declaración obligatoria (EDO), señale la afirmación INCORRECTA:
1. Pertenece a la red de vigilancia epidemiológica.
2. Su finalidad es la detección precoz de problemas de salud.
3. Se deben notificar los nuevos casos diagnosticados durante la semana epidemiológica en curso.
4. Su ámbito de trabajo es la Atención Primaria, y en ella colaboran médicos de familia y pediatras de forma voluntaria.

199. Sobre los estudios epidemiológicos de casos y controles es INCORRECTO que:
1. Carecen de utilidad para investigar exposiciones raras si no están muy relacionadas con la enfermedad.
2. Permiten investigar gran variedad de factores de riesgo y la existencia de interacción entre ellos.
3. Son utilizados en enfermedades muy frecuentes.
4. Presentan problemas para ordenar la secuencia de eventos, no permiten establecer causalidad.

200. Según el protocolo común de actuación sanitaria frente a la violencia en la infancia y la adolescencia, en un caso de maltrato, ¿cuándo lo notificaremos?:
1. En procedimiento ordinario, notificación urgente con Parte al Juzgado de Guardia.
2. En procedimiento ordinario sin lesiones, enviar Hoja de detección y Notificación de Maltrato Infantil a la Delegación Territorial con competencia en protección de Menores.
3. En los casos de urgencia enviar hoja de detección y notificación de Maltrato Infantil a los Servicios Sociales Comunitarios de la localidad de residencia de la persona menor.
4. En los casos en que se presenten criterios de urgencia, la comunicación se hará de forma inmediata utilizando la vía telefónica preferentemente.
Imagen pregunta 201
201. La introducción de un grupo ácido carboxílico en la posición C-3 de las 1,4-benzodiazepinas conduce a derivados:
1. Con mayor actividad ansiolítica.
2. Inactivos.
3. Hidrosolubles.
4. Con más efectos secundarios.

202. Durante el análisis espectrofotométrico de un principio activo en una muestra farmacéutica, se construye una curva de calibración. ¿Cuál de las siguientes afirmaciones es correcta respecto a este procedimiento?:
1. La curva de calibración se construye midiendo la absorbancia de soluciones del fármaco a diferentes concentraciones conocidas, y permite determinar la concentración en muestras desconocidas.
2. La curva de calibración se basa en la relación entre el pH y la absorbancia del fármaco en solución.
3. La curva de calibración se utiliza únicamente para determinar los excipientes presentes en el fármaco.
4. La curva de calibración se utiliza únicamente para determinar la pureza del fármaco, no su concentración.

203. ¿Cuál de las siguientes afirmaciones sobre el género Cryptosporidium es correcta?:
1. Viven en el citoplasma de las células endoteliales de reptiles y batracios.
2. La mayoría de los casos graves de criptosporidiosis se han observado en pacientes inmunodeprimidos.
3. Provocan una afección gastrointestinal con ausencia de diarreas.
4. Sus quistes liberan protozoos a nivel de la mucosa oral.

204. Indique la opción correcta sobre la proteína C reactiva (PCR) de la fase aguda de la inflamación:
1. Inhibe la captación de hierro en el intestino.
2. Activa la vía complemento tras unirse a polisacáridos de numerosas bacterias y hongos.
3. Promueve la fuga vascular con un incremento de la coagulación.
4. Estimula la producción de quimiocinas por parte de las células endoteliales.

205. ¿Cuál es el componente fundamental y mayoritario de los liposomas?:
1. Polietilenglicol.
2. Fosfatidiletanolamina.
3. Colesterol.
4. Fosfatidilcolina.

206. La magnitud del factor de acumulación (R) para un fármaco administrado en un régimen de dosis múltiples ¿de qué factores depende?:
1. Únicamente del intervalo de dosificación utilizado.
2. Del intervalo de dosificación y de la semivida de eliminación.
3. Únicamente de la semivida de eliminación.
4. De la dosis y el intervalo de dosificación.

207. De los siguientes algoritmos, ¿cuál estima la filtración glomerular?:
1. Algoritmo de Westgard.
2. Ecuación de Cockcroft-Gaut.
3. Ecuación de Winter.
4. Algoritmo FindRisk.

208. Sabiendo que los anestésicos locales son bases débiles, señalar cómo responderían si se administraran en un proceso inflamatorio que se caracteriza por tener pH ácido:
1. Ejercerían más rápido su acción anestésica porque predominaría la forma no ionizada.
2. Ejercerían más lentamente su acción anestésica porque predominaría la forma ionizada.
3. Ejercerían mejor su acción anestésica porque se potenciaría su característico efecto vasoconstrictor.
4. Se dificultaría su absorción sistémica al no metabolizarse.

209. En un paciente con fallo hepático y renal, y grave desequilibrio ácido-base debido a una intoxicación por salicilatos (niveles por encima de 100 mg/dL), ¿qué tratamiento eliminador emplearía?:
1. Alcalinización de la orina.
2. Acidificación de la orina.
3. Hemodiálisis.
4. Hemoperfusión.

210. La manifestación clínica más significativa en una intoxicación por IMAO, sobre todo si se han asociado a otros fármacos como antidepresivos tricíclicos, anfetaminas, etc. o alimentos ricos en tiramina es:

1. Coma.
2. Crisis hipertensiva.
3. Edema pulmonar.
4. Fallo renal.
Las informaciones publicadas en Redacción Médica contienen afirmaciones, datos y declaraciones procedentes de instituciones oficiales y profesionales sanitarios. No obstante, ante cualquier duda relacionada con su salud, consulte con su especialista sanitario correspondiente.