El Ministerio de Sanidad ha publicado oficialmente el cuadernillo del examen EIR realizado este sábado

Examen EIR 2026 disponible: consulta aquí preguntas y todas sus imágenes
Instantes previos al inicio del examen EIR.


SE LEE EN 9 minutos
El Ministerio de Sanidad ha publicado oficialmente el cuadernillo del examen EIR realizado ayer, facilitando a los enfermeros y enfermeras aspirantes el acceso al contenido completo de la evaluación. Ya se encuentran disponibles para consulta y descarga las diferentes versiones del examen, incluyendo el anexo de imágenes fundamentales para la resolución de los casos prácticos, lo que permite iniciar el cotejo de las respuestas seleccionadas. Este documento constituye la fuente oficial para analizar el rigor de las preguntas antes de que se haga pública la exhibición de las plantillas provisionales de respuestas correctas. Accede ahora a la versión 0 del cuestionario y comienza a revisar detalladamente tu ejercicio.

Gráfico pregunta 1
1. Con relación a la Imagen 1, respecto a la administración de medicación en este caso, ¿qué material NO es necesario incluir en el procedimiento de enfermería?:
  1. Agujas de bisel especial tipo Gripper.
  2. Guantes estériles.
  3. Povidona yodada.
  4. Heparina cálcica.

Gráfico pregunta 2
2. Tomando en consideración la Imagen 2, señale la opción verdadera:
  1. Un cierre inadecuado del tabique interauricular supondría una comunicación de la estructura 1 con la aurícula izquierda.
  2. Un desgarro o rotura de la estructura 2, supondría una estenosis de la válvula mitral.
  3. Una obstrucción de la estructura 3, conllevaría una enfermedad del tronco coronario.
  4. Un trastorno del ritmo resultante en una contracción ineficaz de la estructura 4 supone un elevado riesgo de trombosis.

Gráfico pregunta 3
3. El endotelio vascular es una estructura funcional que tapiza todos los vasos sanguíneos del cuerpo y está compuesta por las siguientes estructuras referenciadas en la Imagen 3, A EXCEPCIÓN DE:
  1. Glucosaminoglicanos.
  2. Proteoglicanos.
  3. Oleoglicanos.
  4. Glicoproteínas.

Gráfico pregunta 4
4. Mujer de 48 años, triatleta, tras competir el domingo, el martes de la semana siguiente, acude al servicio de urgencias porque dice sentir "el pulso acelerado". Tras hacerle un ECG, recogido en la Imagen 4, detectamos:
  1. Fibrilación auricular.
  2. Extrasistoles auriculares de la unión con las ondas P.
  3. Flutter auricular con conducción variable.
  4. Bigeminismo auricular.

Gráfico pregunta 5
5. En un reconocimiento médico de empresa, F.L.G de 52 años, asintomático y normotenso, tiene un ECG, recogido en la Imagen 5, que refleja un:
  1. Bloqueo de rama izquierda de Primer Grado.
  2. Bloqueo de rama derecha de Primer Grado.
  3. Bloqueo de rama izquierda de Segundo Grado.
  4. Bloqueo de rama derecha de Segundo Grado.

Gráfico pregunta 6
6. La Imagen 6 es de una curva flujo volumen que corresponde a:
  1. Una obstrucción bronquial unilateral del tronco principal.
  2. Una enfermedad pulmonar obstructiva crónica.
  3. Una obstrucción extratorácica variable.
  4. Una obstrucción intratorácica variable.

Gráfico pregunta 7
7. La Imagen 7 contiene el registro de una audiometría tonal. Siguiendo la clasificación de la Guía de práctica clínica de audiometría tonal por vía aérea y ósea con y sin enmascaramiento. ¿Con qué se corresponde?:
  1. Con una audiometría normal.
  2. Con una hipoacusia leve.
  3. Con una hipoacusia moderada.
  4. Con una hipoacusia severa.

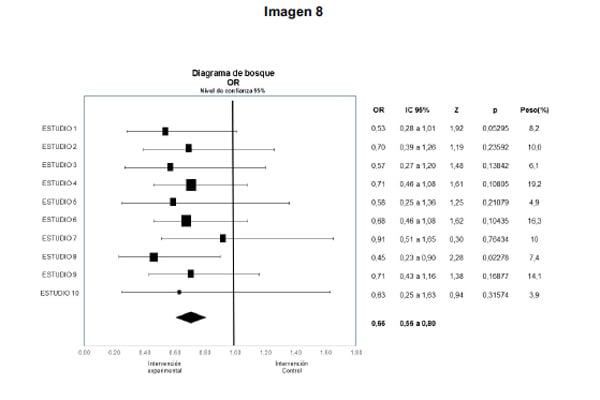
Gráfico pregunta 8
8. Una revisión sistemática analiza el resultado de un programa experimental enfermero (intervención experimental) y lo compara con el resultado de la intervención enfermera que se utiliza habitualmente (intervención control). El resultado del metaanálisis está recogido en la Imagen 8. Según ese resultado ¿qué afirmación es correcta?:
  1. El resultado está a favor de la intervención experimental.
  2. El resultado está a favor de la intervención control.
  3. No existe diferencia entre las dos intervenciones que se analizan.
  4. El resultado parece estar a favor de la intervención experimental, pero no es significativo.

Gráfico pregunta 9
9. Según establece la Norma ISO 6710:2018, el tubo de la Imagen 9 contiene:
  1. Ácido etilendiaminotetraacético EDTA K3E.
  2. Citrato trisódico.
  3. Heparina de litio.
  4. Heparina de sodio.

Gráfico pregunta 10
10. Un varón de 26 años que estaba nadando en el mar Cantábrico, presenta lesiones lineales pruriginosas y dolorosas en brazos y tórax. No presenta disnea, ni signos de reacción alérgica ni otra sintomatología sistémica. Refiere que ha fotografiado el animal marino que le ha causado las lesiones, que corresponde a la Imagen 10. Atendiendo a las recomendaciones de la Subdirección General de Sanidad Ambiental y Salud Laboral sobre las picaduras de medusas, ¿cuál es la actuación inmediata que debe realizarse?:
  1. Limpiar las zonas afectadas sin frotar, utilizando agua dulce. Retirar los restos que puedan quedar adheridos a la piel utilizando pinzas o en su defecto, una tarjeta de plástico. Aplicar una solución tópica de bicarbonato de sodio. Si el dolor es muy intenso o hay un empeoramiento del estado general, acudir de inmediato a un servicio de urgencia.
  2. Limpiar las zonas afectadas frotando enérgicamente para retirar todos los restos. Lavar la zona utilizando agua de mar o una solución salina. Si el dolor es muy intenso o hay un empeoramiento del estado general, acudir de inmediato a un servicio de urgencia.
  3. Limpiar las zonas afectadas sin frotar, y retirar los restos que puedan quedar adheridos a la piel utilizando pinzas o en su defecto, una tarjeta de plástico. Aplicar en las zonas afectadas una dilución de vinagre y agua. Si el dolor es muy intenso o hay un empeoramiento del estado general, acudir de inmediato a un servicio de urgencia.
  4. Limpiar las zonas afectadas sin frotar, utilizando agua de mar o una solución salina. Retirar los restos que puedan quedar adheridos a la piel utilizando pinzas o en su defecto, una tarjeta de plástico. Se puede aplicar una solución tópica de bicarbonato de sodio. Si el dolor es muy intenso o hay un empeoramiento del estado general, acudir de inmediato a un servicio de urgencia.

11. ¿Qué nervio se encuentra comprimido en el síndrome del túnel carpiano?:
  1. Nervio mediano.
  2. Nervio cubital.
  3. Nervio radial.
  4. Nervio interóseo anterior.

12. El bronquio, los vasos linfáticos, los vasos sanguíneos y los nervios entran y salen del pulmón, a través de:
  1. Vértice del pulmón.
  2. Hilio.
  3. Base del pulmón.
  4. Escotadura cardíaca.

13. ¿Cuál de las siguientes válvulas cardíacas se localiza entre la aurícula y el ventrículo izquierdos?:
  1. Tricúspide.
  2. Pulmonar.
  3. Bicúspide.
  4. Aórtica.

14. El conducto colédoco se forma por la unión de:
  1. Conducto pancreático accesorio y pancreático principal.
  2. Conducto hepático común y conducto cístico.
  3. Conducto pancreático y conducto cístico.
  4. Conducto pancreático y hepático derecho.

15. ¿En cuál de las siguientes partes del sistema urinario se produce la filtración inicial de la sangre?:
  1. Túbulo contorneado proximal.
  2. Asa de Henle.
  3. Glomérulo.
  4. Uréter.

16. La estimulación del nervio vago genera una respuesta parasimpática caracterizada por:
  1. Incremento del tono simpático y de la presión arterial.
  2. Reducción del automatismo del nodo sinoauricular y enlentecimiento de la conducción auriculoventricular.
  3. Aumento del gasto cardíaco y del flujo coronario.
  4. Estimulación de la contractilidad ventricular.

17. El principal estímulo fisiológico para la ventilación en sujetos sanos es:
  1. La hipoxemia (PaO2 baja) detectada por quimiorreceptores periféricos.
  2. La presión arterial sistémica.
  3. La hipercapnia (PaCO2 alta) y el aumento de H detectados por quimiorreceptores centrales.
  4. El consumo de adenosin trifosfato (ATP) durante el ejercicio físico.

18. Según la Ley de Frank-Starling, el volumen de eyección ventricular aumenta cuando:
  1. Se incrementa la poscarga y disminuye la distensibilidad ventricular, facilitando la fracción de eyección.
  2. Aumenta la precarga, lo que produce mayor estiramiento de las fibras miocárdicas y una contracción más intensa.
  3. Disminuye el volumen telediastólico, reduciendo la precarga.
  4. Se activa el sistema simpático sin cambios en el llenado ventricular.

19. Con respecto al pH sanguíneo, NO ES CIERTO que:
  1. Refleja la concentración de hidrogeniones.
  2. Se expresa de manera logarítmica debido a la baja concentración de H.
  3. Un pH bajo corresponde a una elevada concentración de hidrogeniones, por lo que indica que el medio es ácido.
  4. El pH es directamente proporcional a la concentración de hidrogeniones.

20. Según las guías Kidney Disease: Improving Global Outcomes (KDIGO), el filtrado glomerular estimado (eGFR) se define como:
  1. El volumen total de sangre que circula por el riñón cada minuto.
  2. La velocidad de secreción tubular de la creatinina.
  3. El volumen de orina producido en 24 horas indexado por peso del paciente (ml/Kg).
  4. Una estimación de la cantidad de plasma filtrada por los glomérulos por unidad de tiempo.

21. Seleccione la respuesta INCORRECTA. Las enzimas son:
  1. Proteínas.
  2. Moléculas inorgánicas compuestas por carbono e hidrógeno.
  3. Catalizadores biológicos.
  4. Polipeptidos con potencial asociación de cofactores.

22. Señala cuál de las siguientes rutas metabólicas es puramente anabólica:
  1. Gluconeogénesis.
  2. Ciclo del ácido tricarboxílico (Ciclo TCA).
  3. Glucolisis.
  4. Ciclo de las pentosas.

23. ¿Cuál es la función principal de las lipoproteínas LDL y HDL?:
  1. Transportar glucosa desde el intestino al hígado.
  2. Degradar los triglicéridos en moléculas de glicerol más ácidos grasos libres.
  3. Transportar el colesterol circulante entre hígado y tejidos periféricos.
  4. Transportar enzimas para la sintesis de colesterol.

24. ¿Cuáles son los productos finales mayoritarios del catabolismo?:
  1. NADH y FADH2.
  2. Agua, $CO_{2}$
Las informaciones publicadas en Redacción Médica contienen afirmaciones, datos y declaraciones procedentes de instituciones oficiales y profesionales sanitarios. No obstante, ante cualquier duda relacionada con su salud, consulte con su especialista sanitario correspondiente.