Según los resultados de un estudio realizado por estudiantes alemanes de Medicina

El 'caldo de cultivo' de los médicos homeópatas está en la universidad
Estudiantes durante una clase de la facultad de Medicina.


SE LEE EN 2 minutos
POR REDACCIÓN
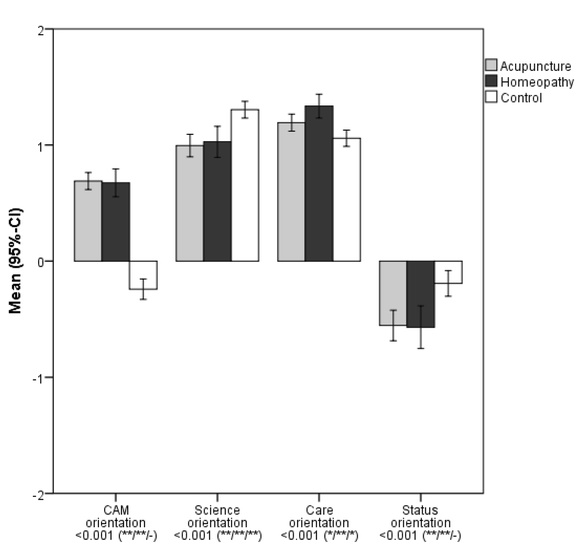
La medicina alternativa y la ciencia no van de la mano. Al menos, así lo indican los resultados del estudio ‘¿Qué diferencia a los estudiantes de Medicina que participan en cursos de acupuntura y homeopatía?’, realizado por un grupo de alumnos alemanes del grado sanitario. La investigación revela que los alumnos que realizan cursos vinculados a acupuntura y homeopatía reflejan una menor orientación científica que el resto de sus compañeros. Sin embargo, no es la única diferencia.

Una de las tablas de resultados del estudio.

La investigación, realizada a través de encuestas en las 37 escuelas de Medicina de toda Alemania, indica que los cursos de acupuntura y homeopatía hacen que los estudiantes sean más receptivos a la medicina alternativa que el resto de sus compañeros. En cuanto al trato con el paciente, el estudio revela que los alumnos de los cursos muestran una mayor disposición al cuidado del paciente, aunque la diferencia con el grupo control no ha sido tan amplia.

En la misma línea, el estudio ha precisado que las motivación profesional vinculada con el estatus y el crecimiento institucional está más altos en los estudiantes de Medicina que son ajenos a los cursos de medicina alternativa, al contrario de lo que ocurre con los que optan por las técnicas de acupuntura y homeopatía. Las discrepancias, sin embargo, no solo se manifiestan entre los seguidores de la medicina alternativa y la clásica, sino entre los propios estudiantes que optan por la acupuntura y homeopatía.

Los resultados permiten revelar que, si bien el grupo control no ha mostrado interés por ninguna de las áreas de medicina alternativa, los alumnos de los cursos de homeopatía se muestran más abiertos a la formación en acupuntura que al inverso. Es decir, la gran parte de los estudiantes de acupuntura prefiere mantenerse centrado en su área, mientras que los homeópatas valoran positivamente otras disciplinas de la medicina alternativa.
Las informaciones publicadas en Redacción Médica contienen afirmaciones, datos y declaraciones procedentes de instituciones oficiales y profesionales sanitarios. No obstante, ante cualquier duda relacionada con su salud, consulte con su especialista sanitario correspondiente.